23 KiB
Лекция 23. Параллельные вычислительные системы
Содержание
- Лекция 23. Параллельные вычислительные системы
- Содержание
- Классификация
- Классификация Флинна
- Альтернативная классификация
- Классификация по памяти
- Матричные вычислительные системы
- Кластерные вычислительные системы (ВС)
- Топология малых кластеров
- Реконфигурируемые вычислительные системы
- Систолические вычислительные системы
- Системы, управляемые потоками данных
- Основные материалы лекции
Параллельные вычислительные системы (ПВС) нужны для повышения производительности, чтобы выполнять вычисления как можно быстрее за счёт того, что каждое ядро решает свои задачи. Однако параллелизм бывает разный, об этом и рассказывается в рамках этой лекции.
Классификация
По области применения
-
Научные вычисления (grand challenges) – к примерам таких вычислений можно отнести обработку больших данных, моделирование взрыва ядерных бомб, вычисление сложности алгоритмов и т.п.
-
Глобальные корпоративные вычисления, которые делятся на две подкатегории
- Обработка баз данных корпораций
- Многопоточная обработка запросов
По особенностям назначения
-
Системы высокой надежности – к ним относятся различные системы (например банковские), для которых надёжность является один из главных факторов. Такие системы являются избыточными, так как им необходима горячая замена различных ресурсов (элементов памяти, процессоров и т.п.), в случае если что-то выйдет из строя.
-
Системы высокопроизводительных вычислений – название говорит само за себя, это процессоры нацеленные на высокопроизводительные вычисления.
-
Многопоточные системы – к ним относятся различные web-сервера, которым нужно одновременно отвечать на множество запросов, когда люди заходят на сайт.
Классификация Флинна
Классификация Флинна – общая классификация архитектур ЭВМ по признакам наличия параллелизма в потоках команд и данных. Была предложена Майклом Флинном в 1966 году и расширена в 1972 году. Её идея заключалась в том, чтобы представить машину как обработчик потока команд и потока данных, и в зависимости от того какие потоки команд и данных обрабатывает машина, классифицировать её одним из 4 способов:
- SISD (Single Instruction Single Data) (на одиночный поток команд приходится одиночный поток данных) – это традиционный процессор (к примеру однотактный). Каждой команде соответствует своя порция данных, она обрабатывается процессором, который выдаёт результат.
Рис. 1. SISD (Single Instruction Single Data).
- SIMD (Single Instruction Multiple Data) (на одиночный поток команд приходится множественный поток данных) – он состоит из памяти программ, которая выдаёт одну инструкцию и эта инструкция является указанием всем вычислителям в системе, чтобы они каждый работали над своей порцией данных.
Рис. 2. SIMD (Single Instruction Multiple Data).
- MISD (Multiple Instruction Single Data) (на множественный поток инструкций единственные данные) – это конвейер, то есть одна порция данных проходит через конвейер (формально это одна команда, которая разбита на стадии).
Рис. 3. MISD (Multiple Instruction Single Data).
- MIMD (Multiple Instruction Multiple Data) (множественный поток инструкций для различных данных) – при таком подходе можно одновременно генерировать множество команд для различных данных и получать различные результаты на выходе.
Рис. 4. MIMD (Multiple Instruction Multiple Data).
Альтернативная классификация
Эта классификация основывается на классификации Флинна и расширяет её.
-
Системы с конвейерной и векторной обработкой – похоже на работу SIMD, но использующие векторные системы.
-
SIMD-системы – такие системы с процессорными элементы, которыми управляет один процессор.
-
MIMD-системы
- Сильносвязнные (с общей памятью) – если программа лежит в общей памяти.
- Слабосвязанные (с локальной памятью) – архитектура, в которой передача информации между отдельными элементами этой системы происходит за счёт передачи явных сообщений.
-
Multiple SIMD – объединений SIMD процессоров.
Классификация по памяти
- Symmetric Multiprocessing (SMP) – системы с однотипными процессорами и общей памятью. Их преимущества: легкое и быстрое общение между процессорами, но они плохо поддаются масштабированию, что является частой задачей. На рисунке 5 показан классический вариант реализации SMP
Рис. 5. Symmetric Multiprocessing (SMP).
SMP может быть реализован по другому - один из вариантов это перекрёстное подключение, когда каждый из элементов может обращаться к своим модулям, но такая реализация достаточно сложна и требует больших аппаратных затрат.
Рис. 6. Symmetric Multiprocessing (SMP) с перекрёстным подключением.
Также есть вариант с коммутаторами, благодаря которым происходит маршрутизация запросов. Это попытка сделать вариант SMP с перекрёстным подключением, но чуть более в упрощённом варианте.
Рис. 7. Symmetric Multiprocessing (SMP) с коммутаторами.
- Message Passing Architecture (MPA) – архитектура с передачей сообщений через высокоскоростную коммутационную среду. Она сложнее организуется, но она проще масштабируется, а также является гетерогенной, то есть может использовать разные процессоры, в том числе с разной архитектурой.
Рис. 8. Message Passing Architecture (MPA).
- Non-Uniform Memory Access (NUMA) – архитектура, которая в качестве реализации выглядит как система с общей памятью, то есть у всех процессоров есть общая память и они могут писать в любой адрес, но на самом деле она такой не является - у каждого устройства своя локальная память, но за счёт общих коммутаторов, для отдельного процессора это выглядит как единая память.
Рис. 9. Non-Uniform Memory Access (NUMA).
Обобщенная структура параллельно вычислительной системы
Обобщенно структуру параллельно вычислительной системы (ПВС) можно изобразить следующим образом: есть высокоскоростная коммутационная среда, которая подключает различные вычислительные узлы. Каждый вычислительный узел это набор процессорных элементов, которые подключены к коммутатору, соединяющий их с памятью.
Рис. 10. Обобщенная структура ПВС.
Матричные вычислительные системы
Матричные вычислительные системы относятся к SIMD системам. Они состоят из набора процессоров, имеющих свою локальную память и коммутационную среду с помощью которой процессоры общаются друг с другом. Также есть высокопроизводительный управляющий процессор, он считывает программу и выставляет задачу процессорам (в том числе и их активацию). На рисунке 11 представлена такая реализация.
Рис. 11. Первый способ реализации матричной вычислительной системы.
На рисунке 12 представлен другой способ реализации, где процессоры не на прямую подключены к своему банку памяти, а через коммутационную среду. То есть процессоры могут обращаться к другим банкам памяти, это увеличивает гибкость матричного вычислителя, но также значительно его усложняет.
Рис. 12. Второй способ реализации матричной вычислительной системы.
Кластерные вычислительные системы (ВС)
Кластеры – объединений гетерогенных структур для решения общей задачи под единым программным обеспечением.
Преимущества кластерных вычислительных систем:
- абсолютная масштабируемость – можно изначально создать огромный кластер.
- наращиваемая масштабируемость – кластер можно продолжать масштабировать.
- высокий коэффициент готовности – за счёт того, что уже есть большое количество машин.
- соотношение цена/производительность – кластеры значительно выигрывают в цене по сравнению с другими параллельными вычислительными системами.
На рисунке 13 представлены две реализации кластерных вычислительных систем. Слева представлена реализация с общим дисковым массивом, справа же системы связаны только высокоскоростной магистралью.
Рис. 13. Кластерные вычислительные системы.
Топология малых кластеров
На рисунке 14 представлены разные реализации малых кластеров. Самый простой – под номером 4, у каждого узла есть свой дисковый массив. Остальные варианты используются для обеспечения надёжности:
- Вариант под номером 1 – перекрёстный. За счёт такого перекрёстного подключения ресурсы дублируются, и есть возможность заменить один из узлов в случае, если он выйдет из строя.
- Вариант под номером 2 – N+M. Благодаря коммутатору каждый узел кластера имеет возможность получить доступ к любому дисковому массиву.
- Вариант под номером 3 – N+1. Здесь есть один узел, который создаёт избыточность и страхует если какой-то из узлов выйдет из строя.
Рис. 14. Кластерные вычислительные системы.
Реконфигурируемые вычислительные системы
Реконфигурируемые вычислительные системы (РВС) — это системы, имеющие возможность менять свою модель вычислений, иначе говоря, позволяющие вносить существенные изменения в свою аппаратную часть. Основное отличие — это наличие программируемой логической интегральной схемы (ПЛИС) и возможность по мере необходимости реконфигурировать ПЛИС компьютером. Благодаря ПЛИС данные обрабатываются потоково.
Рис. 15. Реконфигурируемые вычислительные системы.
Систолические вычислительные системы
Систолические вычислительные системы – системы класса SIMD, основным принципом которых является то, что все данные регулярно и ритмически проходящие через массив, используются многократно. Она состоит из цепочки процессорных элементов, которые поэтапно взаимодействуют между собой. Важное отличие, что здесь не происходит обращение к памяти.
Рис. 16. Систолические вычислительные системы.
Системы, управляемые потоками данных
Мы привыкли, что обычно машина управляется потоком команд — пришла команда и она выполняется. Но сейчас мы рассмотрим другой подход.
Идея систем, управляемых потоком данных заключается в том, что не новая инструкция порождает новые вычисления, а готовые данные порождают новые вычисления.
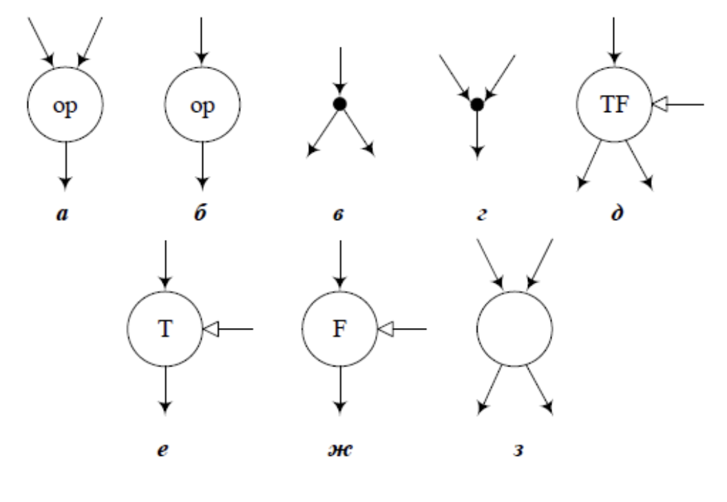
Чтобы разобраться, как работает данная система, рассмотрим элементы описания этой машины, представленной на рисунке 17.
Принцип работы будет описан в виде направленного графа, где по стрелочкам идут данные, в кружочках обозначаются операции:
- а – бинарная операция
- б – унарная операция
- в – разветвление
- г – объединение
- д – мультиплексор
- е – проверка на True
- ж – проверка на False
- з – арбитр (кто первый придёт – направо, второй – налево)
Рис. 17. Элементы системы, управляемые потоками данных.
Рассмотрим работу систем, управляемых потоком данных на примере решения корней квадратного уравнения.
Рис. 18. Решение корней квадратного уравнения.
Также мы можем реализовать цикл, пример на рисунке 19.
Рис. 19. Цикл.
Пример реализации такой системы представлен на рисунке 20. Она состоит из группы коммутаторов, блоков памяти и процессорных элементов. Одно прохождение по этому кругов данных соответствует одной линии, которая была представлена на рисунке 18.
Рис. 20. Пример реализации системы, управляемой потоками данных.
Основные материалы лекции
- Ссылка на видеозапись лекции



















